矩阵求导
向量的导数

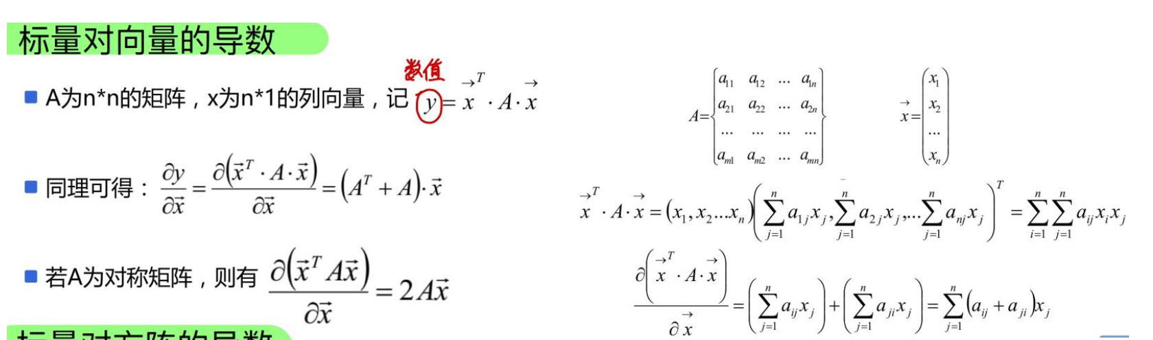
标量对向量的偏导数

标量对方阵的导数
- $\mathrm{A}$ 为 $\mathrm{n}$ * $\mathrm{n}$ 的矩阵, $|\mathrm{A}|$ 为 $\mathrm{A}$ 的行列式,计算 $\frac{\partial|A|}{\partial A}$
$$
\begin{gathered}
\forall 1 \leq i \leq n,|A|=\sum_{j=1}^n a_{i j} \cdot(-1)^{i+j} M_{i j} \
\frac{\partial|A|}{\partial a_{i j}}=\frac{\partial\left(\sum_{j=1}^n a_{i j} \cdot(-1)^{i+j} M_{i j}\right)}{\partial a_{i j}}=(-1)^{i+j} M_{i j}=A_{j i}^* \
\frac{\partial|A|}{\partial A}=\left(A^*\right)^T=|A| \cdot\left(A^{-1}\right)^T
\end{gathered}
$$
[[Ref]]